| 標題 | 全國學生美術比賽決賽得獎名單 |
|---|---|
| 訊息分類 | 榮譽榜 |
| 公告單位 | 訓育組長 鄧光榮 |
| 日期起迄 | 2024-11-28 00:00~2024-12-05 23:50 更新時間: 2024-11-28 10:13:58 |
| 訊息內容 |
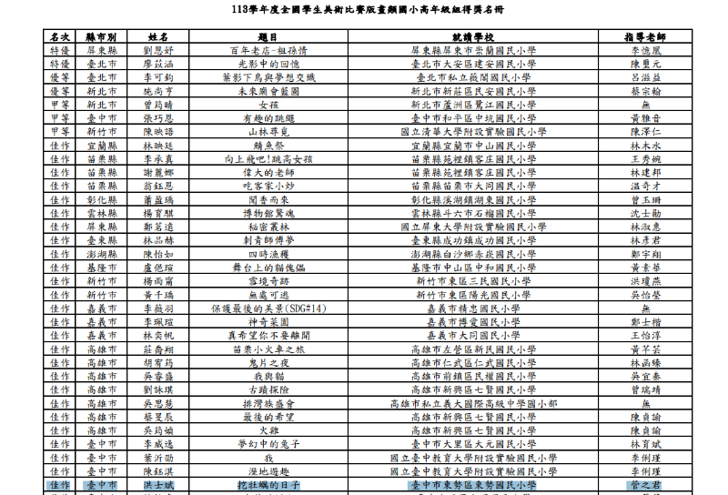
狂賀~~ 405班 江晨喆 榮獲 漫畫類 「一山還有一山高-誰是第一名?」中年級組佳作 605班洪士斌 榮獲 版畫類 「挖牡蠣的日子」高年級組佳作
恭喜以上得獎學生,也感謝指導老師王春芬老師及管之君老師細心指導。
|