| 標題 | 114學年度公明國中七年級新生名單、學號、座號暨各班導師公告 |
|---|---|
| 訊息分類 | 教務處 |
| 公告單位 | 註冊兼資訊組長 |
| 日期起迄 | 2025-07-31 00:00~2026-06-30 23:50 更新時間: 2025-11-04 10:51:40 |
| 訊息內容 |
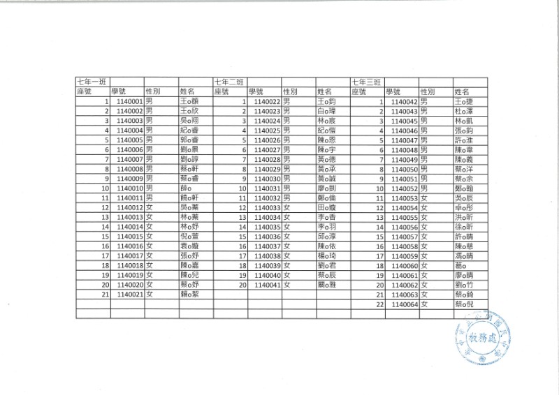
本校新生編班,係依據114年7月4日(五),於臺中市立大安國中進行常態編班作業結果辦理:
1、本校學號、座號、名單公告如下附檔。唯依教育局處規定與顧及個資法之緣由,學生姓名第二字隱匿: ![]() 2、依教育局規定,七日內須公開抽籤決定新生導師並公告。本校於7月9日上午9點,由學務處於主持於校史室進行抽籤會議,並在會上抽出七年級各班導師,結果如下:
701: 許維哲老師 702: 許嘉展老師 703: 柯馭庭老師 ![]() ![]() ![]() *以上為抽籤會議照片,以昭公信。
|